Image

Superoscillations/supergrowth (2022-2023)

Bandlimited functions might locally appear to oscillate at a frequency much higher than its fastest Fourier component, a phenomenon known as superoscillation. The figure on the left shows how a bandlimited function of the highest frequency of 1Hz unit in a small region behaves like a 10Hz signal while showing very different behavior outside the interval. This concept has been utilized in diffraction-limited optical systems to achieve superresolution. However, superoscillatory fields are accompanied by very intense sidelobes, a limitation of this approach. Supergrowth, a recently introduced concept, refers to the amplitude of a function growing at a rate higher than its fastest Fourier component. We show that supergrowing regions can contain much higher intensities than superoscillatory regions, alleviating the effect of sidelobes. We also show how to perform subwavelength object reconstruction, generate supergrowing functions mathematically, and perform an experimental synthesis of supergrowing fields.

Imaging Generation Synthesis
Image

Fluxon Refrigerator (2021-2022)

In type-II superconductors, above a certain critial external magnetic field, the field lines start penetrating the sample and we have an intermediate state consisting of puddles of normal metals surrounded by superconducting material. Each of these puddles or vortices carry a quanta of flux and are called fluxons.

In our work, we propose a refrigeration scheme (as shown) by using the fluxons as a working substance. By applying an external current the fluxons are driven across a magnetic field gradient. In the process they extract heat from a cold reservoir and dump it into a hot reservoir.

Article
Image

Stochastic Path Integral (2020-2021)

We formulate a stochastic path integral description of a quantum harmonic oscillator in general Gaussian states undergoing continuous position and momentum measurements.

Under continuous measurements the trajectories of oscillators in phase space are stochastic and tend to spiral out. The stronger the measurements are, the more spiraled our trajectories we get. If we color code the trajectories in terms of strength of measurements, the blue (stronger measurements) trajectories tend to spiral out more than the orange/red (weaker measurements) ones. This lets us create a palette very similar to Van Gogh's The Starry Night.

Article
Image

Illustris (2017-2022)

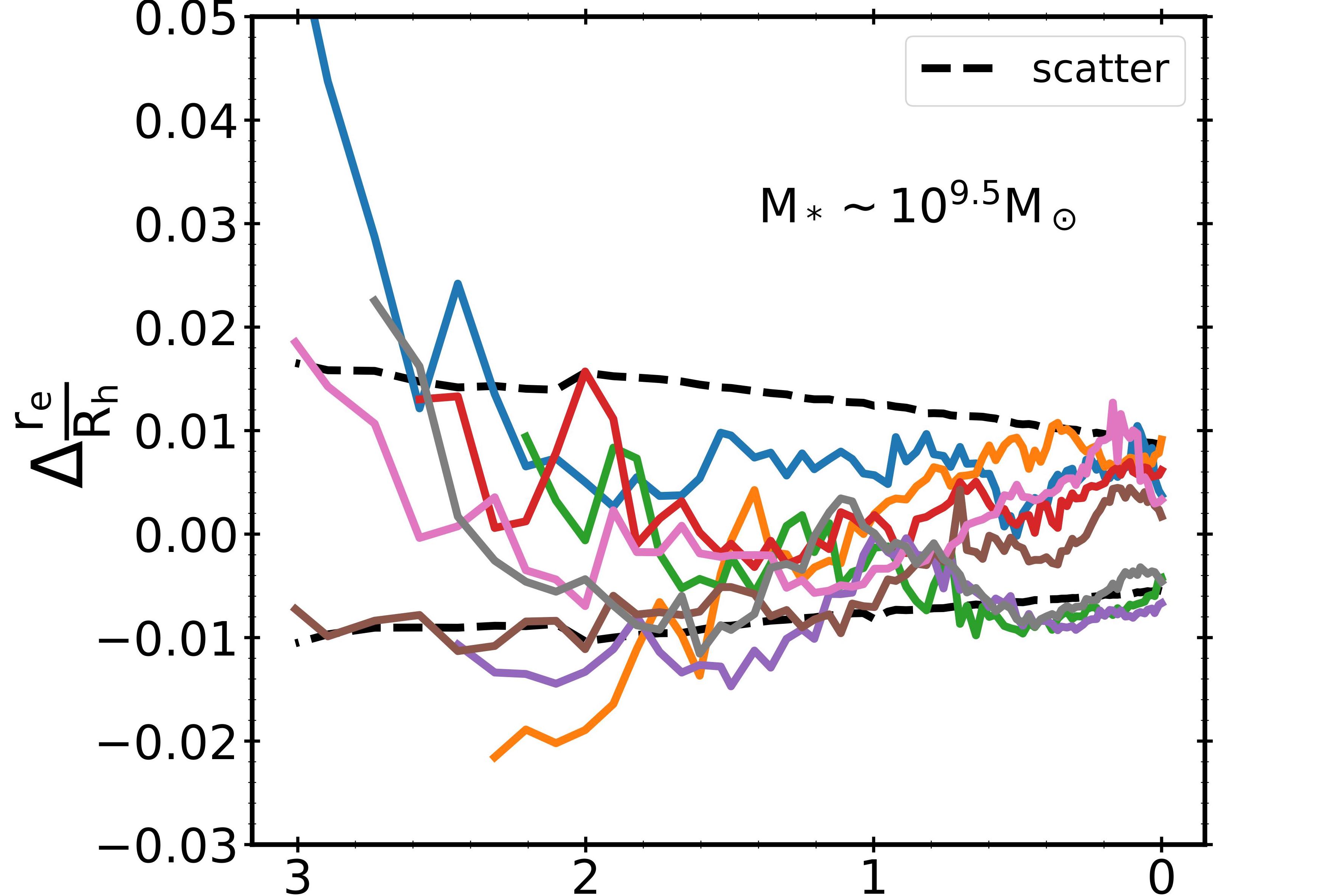
In this project, we look at the sizes scaling relations of central galaxies and their host dark matter halos in Illustris and IllustrisTNG simulations. We find that IllustrisTNG shows better agreement with the observed scaling relations.

Image shows how the radii ratio of sample galaxies and their host dark matter halos evolve with respect to the median as a function of redshift on the x-axis. Redshift 0 means present day, whereas, increasing redshift means we are looking at the past. Dashed lines show average scatter of galaxies with redshift~0 and a mass of 109.5 solar mass.

Article
Image

Roche Limits (2016-2017)

For a star orbiting around a black hole, if it gets too close, the gravitational tidal force causes the star to lose its stability and disrupt. These limits (also called Roche limits) where such disruption occurs can be very different for naked singularities when compared with those of Kerr metric. Image shows equilibrium density distribution of an orbiting star at Roche limit. Numbers denote fractional density (with respect to central density). For more details and significance of the results see our paper.

Article
Image

Magnetic fields of the Sun (2017)

Toroidal and polar components of the Sun's magnetic field can be written as curl and double curl of two radial vector fields. Assuming the coefficents of these vector fields to be spherical harmonics, one can produce multipole structure of solar magnetic fields.

Report
Top